Упражнение 618(стар учебник) ГДЗ Дорофеев Суворова 7 класс (Алгебра)
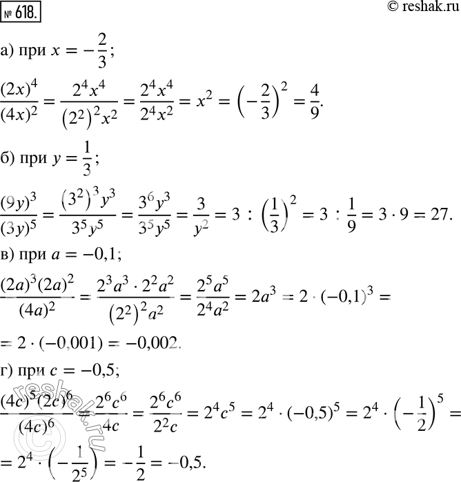
Найдите значение выражения при заданных значениях переменной: а) (2x)4/(4x)2 при x=-2/3; б) (9y)3/(3y)5 при y=1/3; в) (2a)3(2a)2 при a=-0,1; г) (4c)5(2c)6/(4c)6 при c=-0,5.

Ниже вариант решения задания из учебника Дорофеев, Суворова, Бунимович 7 класс, Просвещение:
Найдите значение выражения при заданных значениях переменной:
а) (2x)4/(4x)2 при x=-2/3;
б) (9y)3/(3y)5 при y=1/3;
в) (2a)3(2a)2 при a=-0,1;
г) (4c)5(2c)6/(4c)6 при c=-0,5.
