Упражнение 619(стар учебник) ГДЗ Дорофеев Суворова 7 класс (Алгебра)
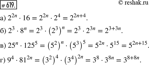
Упростите выражение: а) 2^2n * 16; б) 2^3 * 8n; в)25n * 125^5; г)9^4 * 81^2n. *Цитирирование задания со ссылкой на учебник производится исключительно в учебных целях для лучшего понимания разбора решения задания.

Ниже вариант решения задания из учебника Дорофеев, Суворова, Бунимович 7 класс, Просвещение:
Упростите выражение:
а) 2^2n * 16;
б) 2^3 * 8n;
в)25n * 125^5;
г)9^4 * 81^2n.
