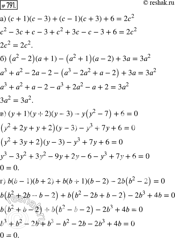
Упражнение 791(стар учебник) ГДЗ Дорофеев Суворова 7 класс (Алгебра)
Докажите, что: а) (с + 1)(с - 3) + (с - 1)(с + 3) + 6 = 2с2; б) (а2 - 2)(а + 1) - (а2 + 1)(а - 2)+ 3а = 3а2;

Ниже вариант решения задания из учебника Дорофеев, Суворова, Бунимович 7 класс, Просвещение:
Докажите, что:
а) (с + 1)(с - 3) + (с - 1)(с + 3) + 6 = 2с2;
б) (а2 - 2)(а + 1) - (а2 + 1)(а - 2)+ 3а = 3а2;
в) (у + 1)(y + 2)(у - 3) - у(у2 - 7) + 6 = 0;
г) b(b - 1)(b + 2) + b(b + 1 )(b - 2) - 2b(b2 - 2) = 0.
