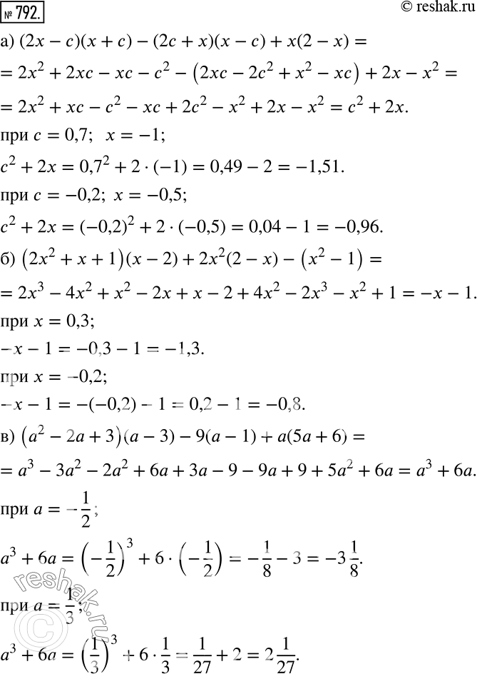
Упражнение 792(стар учебник) ГДЗ Дорофеев Суворова 7 класс (Алгебра)
Найдите значение выражения: а) (2х - с)(х + с) - (2с + х)(х - с) + х(2 - х) при с = 0,7, х = -1;

Ниже вариант решения задания из учебника Дорофеев, Суворова, Бунимович 7 класс, Просвещение:
Найдите значение выражения:
а) (2х - с)(х + с) - (2с + х)(х - с) + х(2 - х) при с = 0,7, х = -1; с = -0,2, х = -0,5;
б) (2x2 + х+ 1)(х -2) + 2х2(2 - х) - (x2 - 1) при х = 0,3; х = -0,2;
в) (а2 -2a + 3)(a - 3) - 9(a - 1) + а(5а 4- 6) при a = -1/2; a = 1/3.
