Упражнение 865(стар учебник) ГДЗ Дорофеев Суворова 7 класс (Алгебра)
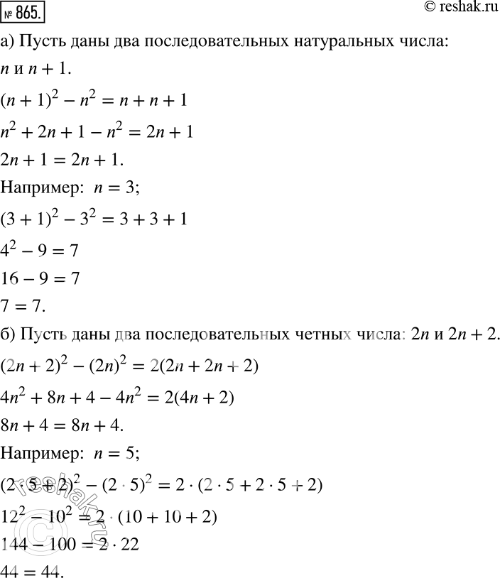
Доказываем (865 — 866) 865 Докажите, что: а) разность квадратов двух последовательных натуральных чисел равна сумме этих чисел; б) разность квадратов двух последовательных чётных чисел равна удвоенной сумме этих чисел.

Ниже вариант решения задания из учебника Дорофеев, Суворова, Бунимович 7 класс, Просвещение:
Доказываем (865 — 866)
865 Докажите, что:
а) разность квадратов двух последовательных натуральных чисел равна сумме этих чисел;
б) разность квадратов двух последовательных чётных чисел равна удвоенной сумме этих чисел.
Проиллюстрируйте доказанные утверждения конкретными примерами.
