Упражнение 917(стар учебник) ГДЗ Дорофеев Суворова 7 класс (Алгебра)
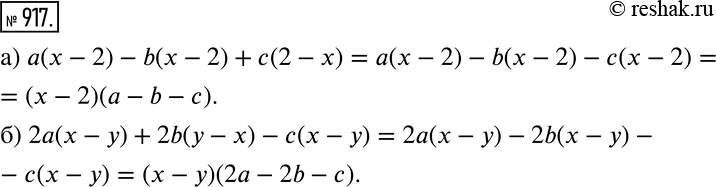
Вынесите за скобки общий множитель: а) а(х - 2) - b(х - 2) + с(2 - x); б) 2а(x - у) + 2b(у - х) - с(х - у).

Ниже вариант решения задания из учебника Дорофеев, Суворова, Бунимович 7 класс, Просвещение:
Вынесите за скобки общий множитель:
а) а(х - 2) - b(х - 2) + с(2 - x);
б) 2а(x - у) + 2b(у - х) - с(х - у).
