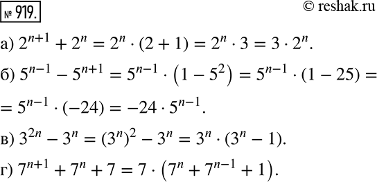
Упражнение 919(стар учебник) ГДЗ Дорофеев Суворова 7 класс (Алгебра)
Вынесите за скобки общий множитель: а) 2^(n + 1) + 2n; б) 5^(n-1) - 5^(n+1); в) 3^2n - 3n; г) 7^(n + 1) + 7n + 7.

Ниже вариант решения задания из учебника Дорофеев, Суворова, Бунимович 7 класс, Просвещение:
Вынесите за скобки общий множитель:
а) 2^(n + 1) + 2n;
б) 5^(n-1) - 5^(n+1);
в) 3^2n - 3n;
г) 7^(n + 1) + 7n + 7.
