Упражнение 922(стар учебник) ГДЗ Дорофеев Суворова 7 класс (Алгебра)
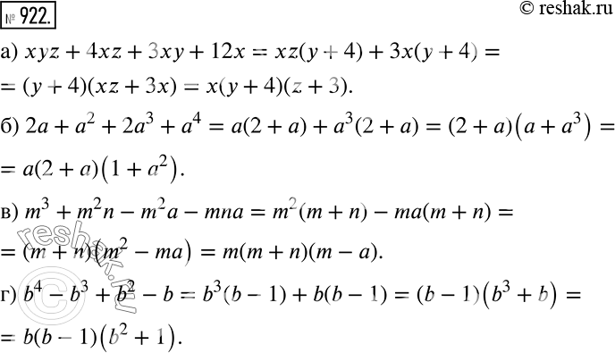
Разложите на множители многочлен: а) xyz + 4xz + 3ху + 12х; б) 2а + а2 + 2а3 + а4; в) m3 + m2n - m2а - mnа;

Ниже вариант решения задания из учебника Дорофеев, Суворова, Бунимович 7 класс, Просвещение:
Разложите на множители многочлен:
а) xyz + 4xz + 3ху + 12х;
б) 2а + а2 + 2а3 + а4;
в) m3 + m2n - m2а - mnа;
г) b4 - b3 + b2 - b.
