Упражнение 923(стар учебник) ГДЗ Дорофеев Суворова 7 класс (Алгебра)
Разложите на множители трёхчлен, заменив среднее слагаемое суммой двух одночленов: а) х2 + 6ху + 5у2; б) 3а2 + 10ab + 3b2;

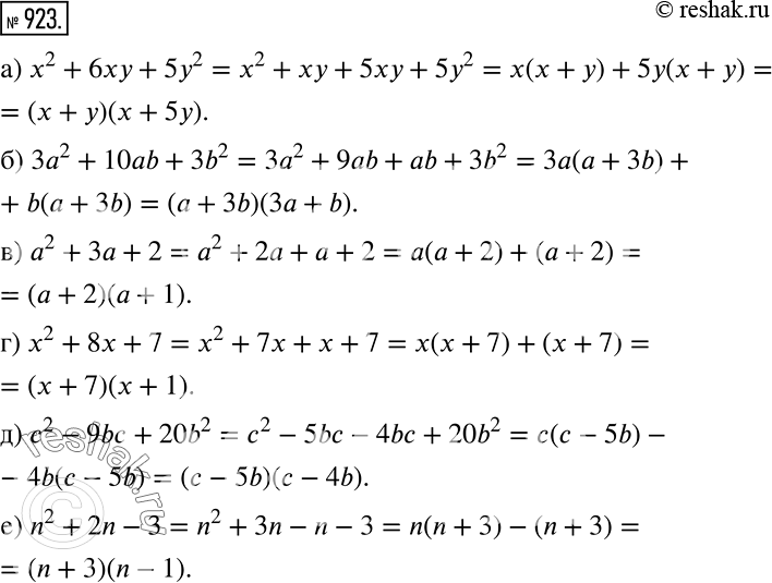
Ниже вариант решения задания из учебника Дорофеев, Суворова, Бунимович 7 класс, Просвещение:
Разложите на множители трёхчлен, заменив среднее слагаемое суммой двух одночленов:
а) х2 + 6ху + 5у2;
б) 3а2 + 10ab + 3b2;
в) а2 + 3а + 2;
г) х2 + 8х + 7;
д) с2 - 9bс + 20b2;
е) n2 + 2n - 3.
