Упражнение 924(стар учебник) ГДЗ Дорофеев Суворова 7 класс (Алгебра)
Разложите на множители: а) 3xyz + х2у + x2z + у2х + y2z + z2x + z2y. Указание. Представьте выражение 3 xyz в виде суммы xyz + xyz + xyz и сгруппируйте члены многочлена.

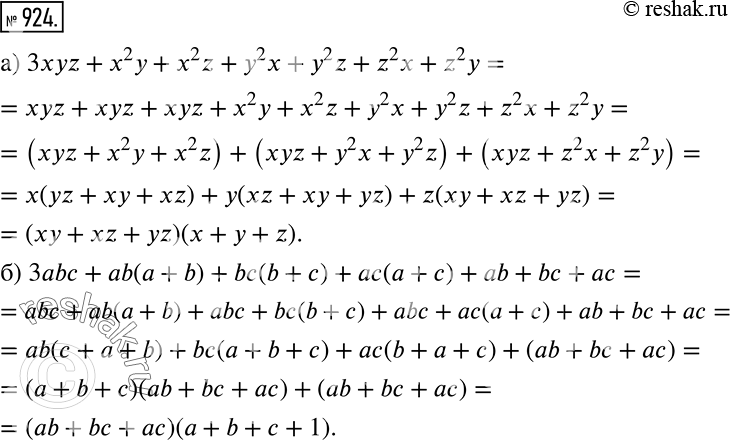
Ниже вариант решения задания из учебника Дорофеев, Суворова, Бунимович 7 класс, Просвещение:
Разложите на множители:
а) 3xyz + х2у + x2z + у2х + y2z + z2x + z2y.
Указание. Представьте выражение 3 xyz в виде суммы xyz + xyz + xyz и сгруппируйте члены многочлена.
б) 3abc + ab(a + b) + bc(b + с) + ас(а + с) + ab + bс + ас.
