Упражнение 925(стар учебник) ГДЗ Дорофеев Суворова 7 класс (Алгебра)
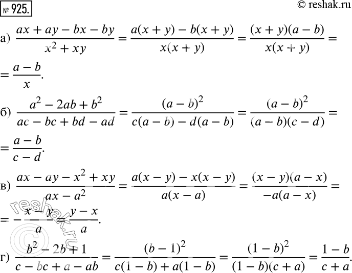
Сократите дробь: а) (ax + ay - bx - by)/(x2+xy); б) (a2-2ab + b2)/(ac-bc+bd - ad); в) (ax-ay-x2+xy)/(ax-a2); г) (b2-2b+1)/(c-bc+a-ab). *Цитирирование задания со ссылкой на учебник производится исключительно в учебных целях для лучшего понимания разбора решения задания.

Ниже вариант решения задания из учебника Дорофеев, Суворова, Бунимович 7 класс, Просвещение:
Сократите дробь:
а) (ax + ay - bx - by)/(x2+xy);
б) (a2-2ab + b2)/(ac-bc+bd - ad);
в) (ax-ay-x2+xy)/(ax-a2);
г) (b2-2b+1)/(c-bc+a-ab).
