Упражнение 926(стар учебник) ГДЗ Дорофеев Суворова 7 класс (Алгебра)
Разложите на множители: а) а2n - 1; б) 4 - x2n; в) y4n - z2; г) b2n - c2. *Цитирирование задания со ссылкой на учебник производится исключительно в учебных целях для лучшего понимания разбора решения задания.

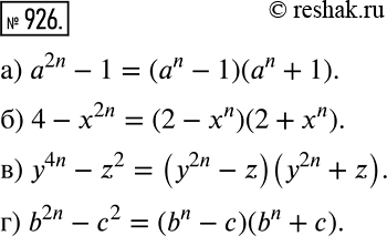
Ниже вариант решения задания из учебника Дорофеев, Суворова, Бунимович 7 класс, Просвещение:
Разложите на множители:
а) а2n - 1;
б) 4 - x2n;
в) y4n - z2;
г) b2n - c2.
