Упражнение 927(стар учебник) ГДЗ Дорофеев Суворова 7 класс (Алгебра)
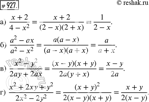
Сократите дробь: а) (x+2)/(4-x2); б) (a2-ax)/(a2-x2); в) (x2-y2)/(2ay+2ax); г) (x2+2xy + y2)/(2x2-2y2). *Цитирирование задания со ссылкой на учебник производится исключительно в учебных целях для лучшего понимания разбора решения задания.

Ниже вариант решения задания из учебника Дорофеев, Суворова, Бунимович 7 класс, Просвещение:
Сократите дробь:
а) (x+2)/(4-x2);
б) (a2-ax)/(a2-x2);
в) (x2-y2)/(2ay+2ax);
г) (x2+2xy + y2)/(2x2-2y2).
