Упражнение 932(стар учебник) ГДЗ Дорофеев Суворова 7 класс (Алгебра)
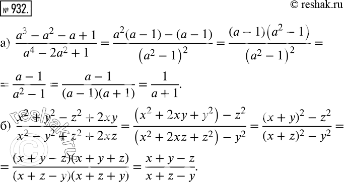
Сократите дробь: а) (a3-a2-a+1)/(a4-2a2+1); б) (x2+y2-z2+2xy)/(x2-y2+z2 + 2xz). *Цитирирование задания со ссылкой на учебник производится исключительно в учебных целях для лучшего понимания разбора решения задания.

Ниже вариант решения задания из учебника Дорофеев, Суворова, Бунимович 7 класс, Просвещение:
Сократите дробь:
а) (a3-a2-a+1)/(a4-2a2+1);
б) (x2+y2-z2+2xy)/(x2-y2+z2 + 2xz).
