Упражнение 935(стар учебник) ГДЗ Дорофеев Суворова 7 класс (Алгебра)
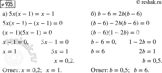
При каких значениях переменной равны значения выражений: а) 5х(х - 1) и х - 1; б) b - 6 и 2b(b - 6)?

Ниже вариант решения задания из учебника Дорофеев, Суворова, Бунимович 7 класс, Просвещение:
При каких значениях переменной равны значения выражений:
а) 5х(х - 1) и х - 1;
б) b - 6 и 2b(b - 6)?
