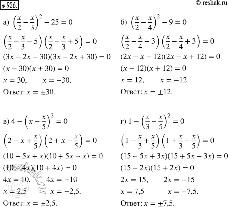
Упражнение 936(стар учебник) ГДЗ Дорофеев Суворова 7 класс (Алгебра)
Найдите корни уравнения (936 -937). 936 а) (x/2 - x/3)2 - 25 =0; б) (x/2 - x/4)2 - 9 =0; в) 4 - (x-x/5)2 =0;

Ниже вариант решения задания из учебника Дорофеев, Суворова, Бунимович 7 класс, Просвещение:
Найдите корни уравнения (936 -937).
936 а) (x/2 - x/3)2 - 25 =0;
б) (x/2 - x/4)2 - 9 =0;
в) 4 - (x-x/5)2 =0;
г) 1-(x/3 - x/5)2=0.
