Это надо уметь Глава 6(стар учебник) ГДЗ Дорофеев Суворова 7 класс (Алгебра)
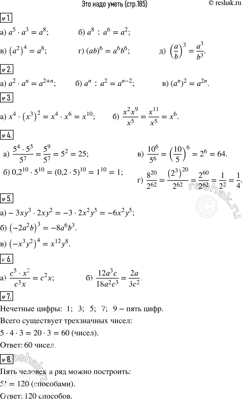
Это надо уметь (обязательные результаты обучения) 1 Выполните действие, воспользовавшись соответствующим свойством степени: а) а5 * а3; б) а8 : а6;

Ниже вариант решения задания из учебника Дорофеев, Суворова, Бунимович 7 класс, Просвещение:
Это надо уметь (обязательные результаты обучения)
1 Выполните действие, воспользовавшись соответствующим свойством степени:
а) а5 * а3; б) а8 : а6; в) (а2)4; г) (ab)6; д) (a/b)3.
2 Выполните действие: а) а2 * аn; б) аn : а2; в) (аn)2.
3 Упростите выражение: а) х4 * (x3)2; б) x2x9/x5.
4 Вычислите: а) (5^4 * 5^5)/5^7;
б) 0,2^10 * 5^10;
в) 10^6/5^6;
г) 8^20/2^62.
5 Упростите выражение:
а) -3ху3 * 2ху2;
б) (-2a2b)3;
в) (-х8у2)4.
6 Сократите дробь:
а) (c5 * x2)/c3x;
б) 12a3c/18a2c3.
7 Сколько существует трёхзначных чисел, составленных из нечётных цифр (все цифры в записи числа различны)?
8 Сколькими способами можно построить в ряд 5 человек?
