Это надо уметь Глава 7(стар учебник) ГДЗ Дорофеев Суворова 7 класс (Алгебра)
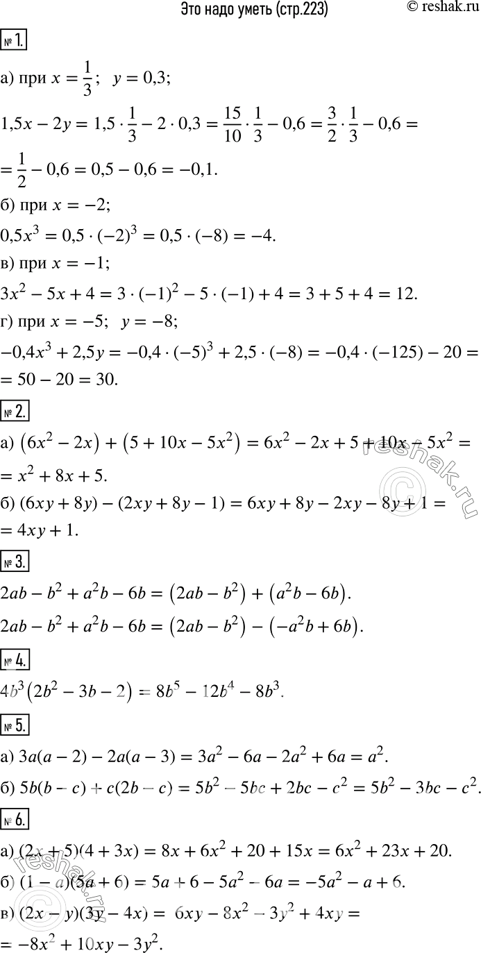
Это надо уметь (обязательные результаты обучения) 1 Найдите значение выражения: а) 1,5x - 2у при х = у = 0,3; б) 0,5x3 при х = -2;



Ниже вариант решения задания из учебника Дорофеев, Суворова, Бунимович 7 класс, Просвещение:
Это надо уметь (обязательные результаты обучения)
1 Найдите значение выражения:
а) 1,5x - 2у при х = у = 0,3;
б) 0,5x3 при х = -2;
в) 3x2 - 5x + 4 при х = -1;
г) -0,4x3 + 2,5у при х = -5, у = -8.
2 Представьте в виде многочлена:
а) (6x2 - 2x) + (5 + 10x - 5x2);
б) (бху + 8у) - (2ху + 8у - 1).
3 Представьте выражение 2аb - b2 + а2b - 6b в виде суммы и в виде разности двух двучленов.
4 Представьте в виде многочлена произведение 4b3(2b2 - 3b - 2).
5 Упростите выражение:
а) 3а(а - 2) - 2а(а - 3);
б) 5b(b - с) + с(2b - с).
6 Представьте в виде многочлена:
а) (2x + 5)(4 + 3x);
б) (1 - а)(5а + 6);
в) (2x - у)(3у - 4x).
7 Упростите выражение:
а) 2а(3а - 5) - (а - 3)(а - 7);
б) (с + 3)(5 - с) - 3с(1 - с).
8 Представьте в виде многочлена: а) (3а + 4)2; б) (2а - 3b)2.
9 Упростите выражение:
а) (а - b)2 - а(а + 2b);
б) 4с(с - 2) - (с - 4)2.
10 Представьте в виде квадрата двучлена:
а) 4 - 4а + а2;
б) 9а2 - 6аb + b2.
11 Решите уравнение:
а) 10 - 3(5x - 1,5) = 2,5 - 5х;
б) 2(3x - 4) = 5x - 3(x + 1).
12 Из пункта А в пункт В, расстояние между которыми 26 км, выехал велосипедист. Одновременно с ним из пункта В в пункт А выехал мотоциклист со скоростью, на 28 км/ч большей скорости велосипедиста. Они встретились через 0,5 ч. Найдите скорость мотоциклиста. На каком расстоянии от пункта А произошла встреча?
13 Площадь прямоугольника равна площади квадрата. Одна из сторон прямоугольника на 2 см меньше стороны квадрата, а другая на 3 см больше стороны квадрата. Найдите площадь квадрата.
