Упражнение 150 Часть 1 ГДЗ Высоцкий Ященко 7-9 класс (Алгебра)
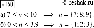
150. Выпишите все целые значения n, при которых истинно высказывание: а) «Число n не меньше 7, но меньше 10»; б) «Число n положительно, но не больше, чем 3,9».

Ниже вариант решения задания из учебника Высоцкий, Ященко 7 класс, Просвещение:
150. Выпишите все целые значения n, при которых истинно высказывание:
а) «Число n не меньше 7, но меньше 10»;
б) «Число n положительно, но не больше, чем 3,9».
