Упражнение 203 Часть 1 ГДЗ Высоцкий Ященко 7-9 класс (Алгебра)
203. Даны два множества С = {а, о, d, q) и D = {р, о, t, q}. а) Перечислите элементы множества C?D;

Ниже вариант решения задания из учебника Высоцкий, Ященко 8 класс, Просвещение:
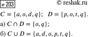
203. Даны два множества С = {а, о, d, q) и D = {р, о, t, q}.
а) Перечислите элементы множества C?D;
б) Перечислите элементы множества C?D.
