Упражнение 271 Часть 1 ГДЗ Высоцкий Ященко 7-9 класс (Алгебра)
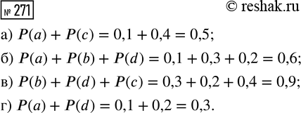
271. В случайном опыте четыре элементарных события а, b, с и d, вероятности которых соответственно равны 0,1, 0,3, 0,4 и 0,2.

Ниже вариант решения задания из учебника Высоцкий, Ященко 8 класс, Просвещение:
271. В случайном опыте четыре элементарных события а, b, с и d, вероятности которых соответственно равны 0,1, 0,3, 0,4 и 0,2. Найдите вероятность события, которому благоприятствуют элементарные события:
а) а и с; в) b, d и с;
б) a, b и d; г) а и d.
