Упражнение 129 Часть 2 ГДЗ Высоцкий Ященко 7-9 класс (Алгебра)
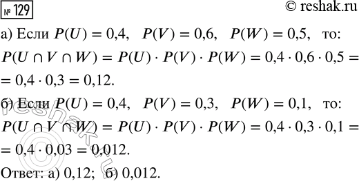
129. События U, V и W независимы. Найдите вероятность события U?V?W, если: а) P(U) = 0,4, Р(V) = 0,6, P(W) = 0,5;

Ниже вариант решения задания из учебника Высоцкий, Ященко 9 класс, Просвещение:
129. События U, V и W независимы. Найдите вероятность события U?V?W, если:
а) P(U) = 0,4, Р(V) = 0,6, P(W) = 0,5;
б) Р(U) = 0,4, Р(V) = 0,3, Р(W) = 0,1.
