Упражнение 137 Часть 2 ГДЗ Высоцкий Ященко 7-9 класс (Алгебра)
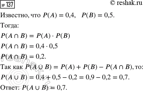
137. В некотором случайном опыте вероятность события А равна 0,4, вероятность события В равна 0,5. Известно, что события А и B независимы.

Ниже вариант решения задания из учебника Высоцкий, Ященко 9 класс, Просвещение:
137. В некотором случайном опыте вероятность события А равна 0,4, вероятность события В равна 0,5. Известно, что события А и B независимы. Найдите вероятность события А?B.
