Упражнение 203 Часть 2 ГДЗ Высоцкий Ященко 7-9 класс (Алгебра)
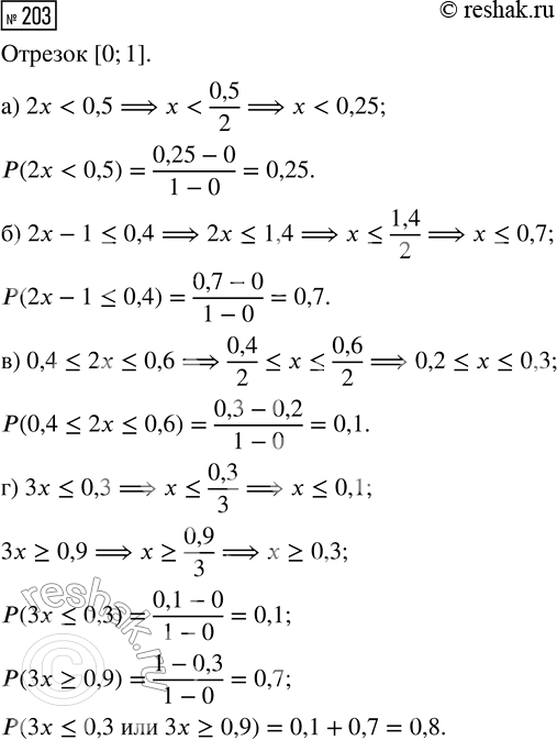
203. Из отрезка [0; 1] случайным образом выбирается число х. Найдите вероятность того, что: а) 2х б) 2х - 1 ?
![Решение задачи: 203. Из отрезка [0; 1] случайным образом выбирается число х. Найдите вероятность того, что: а) 2х б) 2х - 1 ?](solutions/algebra/7/609/6883328-1-203.png)
Ниже вариант решения задания из учебника Высоцкий, Ященко 9 класс, Просвещение:
203. Из отрезка [0; 1] случайным образом выбирается число х. Найдите вероятность того, что:
а) 2х
б) 2х - 1 ? 0,4;
в) 0,4 ? 2х ? 0,6;
г) 3х ? 0,3 или 3х ? 0,9.
