Упражнение 205 Часть 2 ГДЗ Высоцкий Ященко 7-9 класс (Алгебра)
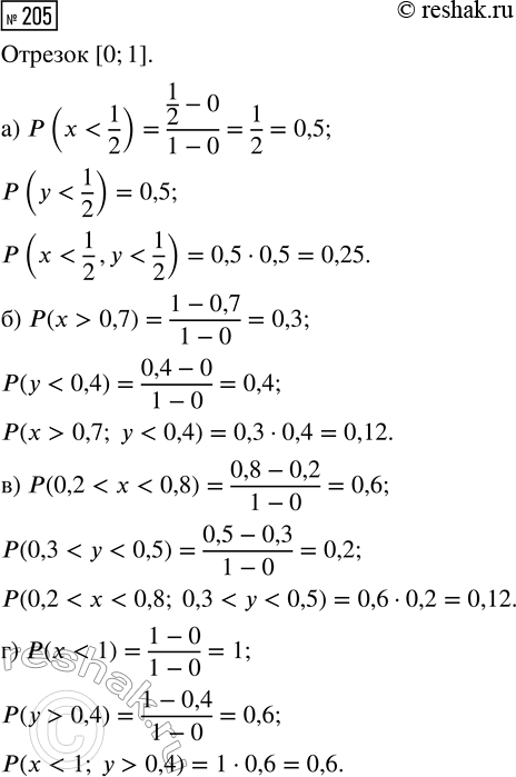
205. Из отрезка [0; 1] случайным образом независимо друг от друга выбираются два числа х и у. Найдите вероятность того, что:
![Решение задачи: 205. Из отрезка [0; 1] случайным образом независимо друг от друга выбираются два числа х и у. Найдите вероятность того, что:](solutions/algebra/7/609/3538564-1-205.png)
Ниже вариант решения задания из учебника Высоцкий, Ященко 9 класс, Просвещение:
205. Из отрезка [0; 1] случайным образом независимо друг от друга выбираются два числа х и у. Найдите вероятность того, что:
а) х
б) х > 0,7, у 0,4.
