Упражнение 207 Часть 2 ГДЗ Высоцкий Ященко 7-9 класс (Алгебра)
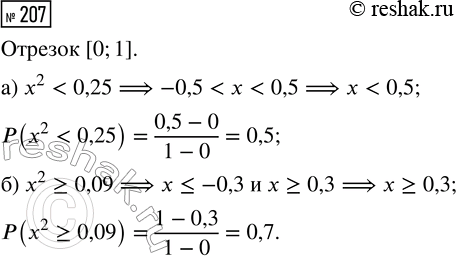
207. Из отрезка [0; 1] случайным образом выбирается число х. Найдите вероятность того, что: а) х^2 *Цитирирование задания со ссылкой на учебник производится исключительно в учебных целях для лучшего понимания разбора решения задания.
![Решение задачи: 207. Из отрезка [0; 1] случайным образом выбирается число х. Найдите вероятность того, что: а) х^2 *Цитирирование задания со ссылкой на учебник производится исключительно в учебных целях для лучшего понимания разбора решения задания.](solutions/algebra/7/609/2453117-1-207.png)
Ниже вариант решения задания из учебника Высоцкий, Ященко 9 класс, Просвещение:
207. Из отрезка [0; 1] случайным образом выбирается число х. Найдите вероятность того, что:
а) х^2
