Упражнение 229 Часть 2 ГДЗ Высоцкий Ященко 7-9 класс (Алгебра)
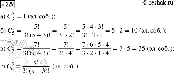
229. Сколько элементарных событий благоприятствует появлению трёх орлов, если монету бросают: а) 3 раза; б) 5 раз; в) 7 раз; г) n раз?

Ниже вариант решения задания из учебника Высоцкий, Ященко 9 класс, Просвещение:
229. Сколько элементарных событий благоприятствует появлению трёх орлов, если монету бросают:
а) 3 раза; б) 5 раз; в) 7 раз; г) n раз?
