Упражнение 235 Часть 2 ГДЗ Высоцкий Ященко 7-9 класс (Алгебра)
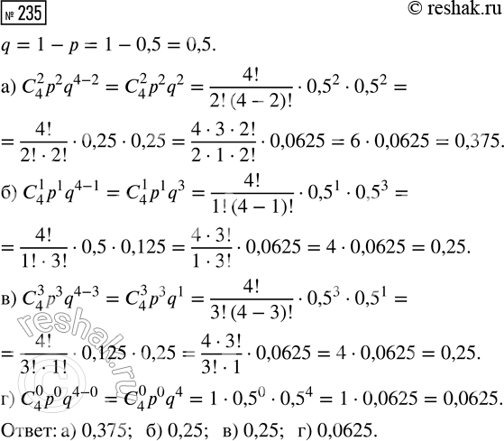
235. В некотором испытании Бернулли успех наступает с вероятностью р = 0,5. Найдите вероятность того, что в серии из 4 таких испытаний:

Ниже вариант решения задания из учебника Высоцкий, Ященко 9 класс, Просвещение:
235. В некотором испытании Бернулли успех наступает с вероятностью р = 0,5. Найдите вероятность того, что в серии из 4 таких испытаний:
а) наступит ровно 2 успеха; в) наступит ровно 3 успеха;
б) наступит ровно 1 успех; г) все испытания окончатся неудачей.
