Упражнение 240 Часть 2 ГДЗ Высоцкий Ященко 7-9 класс (Алгебра)
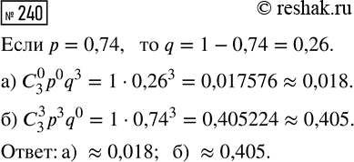
240. Стрелок три раза стреляет по мишени. Вероятность попадания при каждом отдельном выстреле равна 0,74. Какова вероятность события: а) «цель не будет поражена ни разу»;

Ниже вариант решения задания из учебника Высоцкий, Ященко 9 класс, Просвещение:
240. Стрелок три раза стреляет по мишени. Вероятность попадания при каждом отдельном выстреле равна 0,74. Какова вероятность события:
а) «цель не будет поражена ни разу»;
б) «все три выстрела попадут в цель»?
