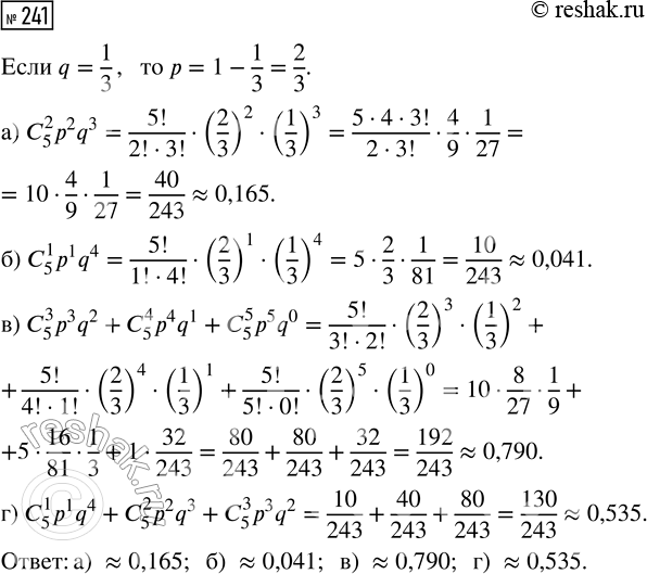
Упражнение 241 Часть 2 ГДЗ Высоцкий Ященко 7-9 класс (Алгебра)
241. В некотором испытании Бернулли неудача наступает с вероятностью q = 1/3. Найдите вероятность того, что в серии из 5 таких испытаний:

Ниже вариант решения задания из учебника Высоцкий, Ященко 9 класс, Просвещение:
241. В некотором испытании Бернулли неудача наступает с вероятностью q = 1/3.
Найдите вероятность того, что в серии из 5 таких испытаний:
а) наступит ровно 2 успеха; в) наступит более 2 успехов;
б) наступит ровно 1 успех; г) наступит менее 4 успехов.
