Упражнение 242 Часть 2 ГДЗ Высоцкий Ященко 7-9 класс (Алгебра)
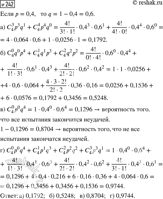
242. В некотором испытании Бернулли успех наступает с вероятностью р = 0,4. Найдите вероятность того, что в серии из 4 таких испытаний:

Ниже вариант решения задания из учебника Высоцкий, Ященко 9 класс, Просвещение:
242. В некотором испытании Бернулли успех наступает с вероятностью р = 0,4. Найдите вероятность того, что в серии из 4 таких испытаний:
а) наступит более 2 успехов; в) не все испытания окончатся неудачей;
б) наступит не более 2 неудач; г) наступит менее 4 успехов.
