Упражнение 244 Часть 2 ГДЗ Высоцкий Ященко 7-9 класс (Алгебра)
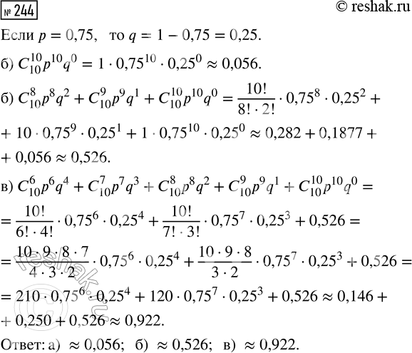
244. Олегу задали 10 одинаковых по трудности задач. Вероятность того, что Олег решит каждую отдельную задачу, равна 0,75. Найдите вероятность того, что Олег решит:

Ниже вариант решения задания из учебника Высоцкий, Ященко 9 класс, Просвещение:
244. Олегу задали 10 одинаковых по трудности задач. Вероятность того, что Олег решит каждую отдельную задачу, равна 0,75. Найдите вероятность того, что Олег решит:
а) все задачи; б) не менее 8 задач; в) не менее 6 задач.
