Упражнение 83 Часть 2 ГДЗ Высоцкий Ященко 7-9 класс (Алгебра)
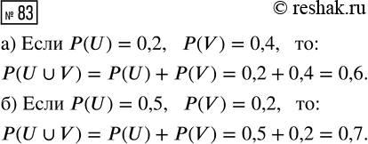
83. События U и V несовместны. Найдите вероятность их объединения, если: а) Р(U) = 0,2, Р(V) = 0,4; б) Р(U) = 0,5, Р(V) = 0,2.

Ниже вариант решения задания из учебника Высоцкий, Ященко 8 класс, Просвещение:
83. События U и V несовместны. Найдите вероятность их объединения, если:
а) Р(U) = 0,2, Р(V) = 0,4; б) Р(U) = 0,5, Р(V) = 0,2.
