Упражнение 85 Часть 2 ГДЗ Высоцкий Ященко 7-9 класс (Алгебра)
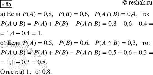
85. Вычислите P(A?B), если: а) Р(А) = 0,8, Р(В) = 0,6, Р(А?B) = 0,4; б) Р(А) = 0,5, Р(В) = 0,6, Р(А?B) = 0,3.

Ниже вариант решения задания из учебника Высоцкий, Ященко 8 класс, Просвещение:
85. Вычислите P(A?B), если:
а) Р(А) = 0,8, Р(В) = 0,6, Р(А?B) = 0,4;
б) Р(А) = 0,5, Р(В) = 0,6, Р(А?B) = 0,3.
