Упражнение 86 Часть 2 ГДЗ Высоцкий Ященко 7-9 класс (Алгебра)
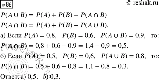
86. Вычислите вероятность пересечения событий А и В, если: а) Р(А) = 0,8, Р(В) = 0,6, P(A?B) = 0,9; б) Р(А) = 0,5, Р(В) = 0,6, P(A?B) = 0,8.

Ниже вариант решения задания из учебника Высоцкий, Ященко 8 класс, Просвещение:
86. Вычислите вероятность пересечения событий А и В, если:
а) Р(А) = 0,8, Р(В) = 0,6, P(A?B) = 0,9;
б) Р(А) = 0,5, Р(В) = 0,6, P(A?B) = 0,8.
