Задание 12 Параграф 3.3 ГДЗ Босова 8 класс 2023 (Информатика)
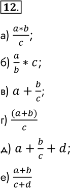
12. Переведите выражение из линейной записи на Школьном алгоритмическом языке в запись на языке математики: а)а * b / с (a*b)/c;

Ниже вариант решения задания из учебника Босова, Босова 8 класс, Бином:
12. Переведите выражение из линейной записи на Школьном алгоритмическом языке в запись на языке математики:
а)а * b / с
(a*b)/c;
б) а / b * с
a/b*c;
в) а + b / с
a+b/c;
г) (а + b) / с
((a+b))/c
д) a+b/c + d
a+b/c+d;
е) (а - b) / (с + d)
(a+b)/(c+d)
