Дополнительная задача 10 Глава 1 ГДЗ Мордкович Семенов 9 класс (Алгебра)
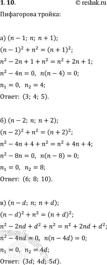
10. 1) Составьте уравнение x^2+y^2=z^2 для тройки вида: а) (n-1; n; n+1); б) (n-2; n; n+2); в) (n-d; n; n+d). 2) Решите в натуральных числах уравнение, составленное в пункте:

Ниже вариант решения задания из учебника Мордкович, Семенов, Александрова 9 класс, Бином:
10. 1) Составьте уравнение x^2+y^2=z^2 для тройки вида:
а) (n-1; n; n+1); б) (n-2; n; n+2); в) (n-d; n; n+d).
2) Решите в натуральных числах уравнение, составленное в пункте:
а) 1 «а»; б) 1 «б»; в) 1 «в».
