Дополнительная задача 5 Глава 1 ГДЗ Мордкович Семенов 9 класс (Алгебра)
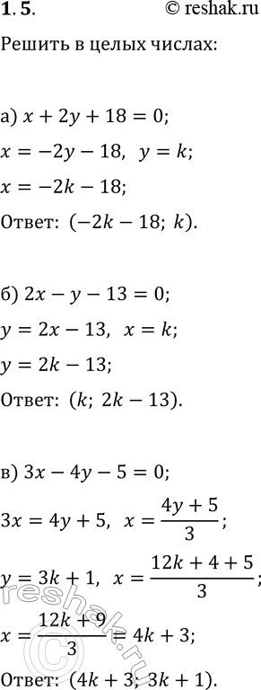
5. Решите в целых числах уравнение: а) x+2y+18=0; г) 4x+3y+2=0; б) 2x-y-13=0; д) (x+2y+18)(x+y)=1; в) 3x-4y-5=0; е) (2x-y-13)(y-x)=-2. *Цитирирование задания со ссылкой на учебник производится исключительно в учебных целях для лучшего понимания разбора решения задания.



Ниже вариант решения задания из учебника Мордкович, Семенов, Александрова 9 класс, Бином:
5. Решите в целых числах уравнение:
а) x+2y+18=0; г) 4x+3y+2=0;
б) 2x-y-13=0; д) (x+2y+18)(x+y)=1;
в) 3x-4y-5=0; е) (2x-y-13)(y-x)=-2.
