Дополнительная задача 6 Глава 1 ГДЗ Мордкович Семенов 9 класс (Алгебра)
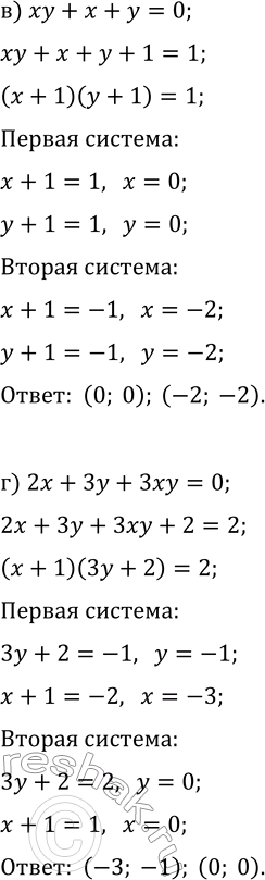
6. Решите в целых числах уравнение: а) xy=x+y; г) 2x+3y+3xy=0; б) xy=x-y; д) y(1-2x)=4x; в) xy+x+y=0; е) (x+2)(4-xy)=1. *Цитирирование задания со ссылкой на учебник производится исключительно в учебных целях для лучшего понимания разбора решения задания.



Ниже вариант решения задания из учебника Мордкович, Семенов, Александрова 9 класс, Бином:
6. Решите в целых числах уравнение:
а) xy=x+y; г) 2x+3y+3xy=0;
б) xy=x-y; д) y(1-2x)=4x;
в) xy+x+y=0; е) (x+2)(4-xy)=1.
