Дополнительная задача 7 Глава 1 ГДЗ Мордкович Семенов 9 класс (Алгебра)
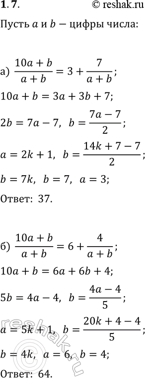
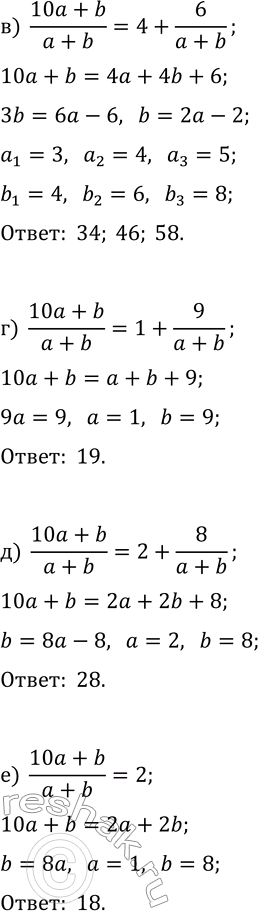
7. Найдите двузначное число, при делении которого на сумму его цифр в частном получится: а) 3, а в остатке 7; г) 1, а в остатке 9;


Ниже вариант решения задания из учебника Мордкович, Семенов, Александрова 9 класс, Бином:
7. Найдите двузначное число, при делении которого на сумму его цифр в частном получится:
а) 3, а в остатке 7; г) 1, а в остатке 9;
б) 6, а в остатке 4; д) 2, а в остатке 8;
в) 4, а в остатке 6; е) 2, а остатка не будет.
