Дополнительная задача 8 Глава 1 ГДЗ Мордкович Семенов 9 класс (Алгебра)
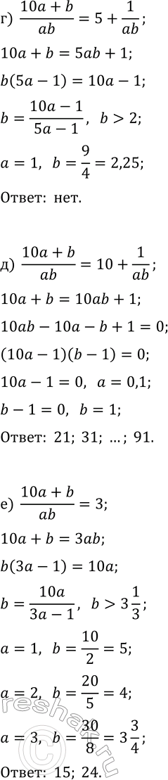
8. Найдите двузначное число, при делении которого на произведение его цифр в частном получится: а) 5, а в остатке 2; г) 5, а в остатке 1;


Ниже вариант решения задания из учебника Мордкович, Семенов, Александрова 9 класс, Бином:
8. Найдите двузначное число, при делении которого на произведение его цифр в частном получится:
а) 5, а в остатке 2; г) 5, а в остатке 1;
б) 2, а в остатке 1; д) 10, а в остатке 1;
в) 3, а в остатке 1; е) 3, а остатка не будет.
