Дополнительная задача 6 Глава 3 ГДЗ Мордкович Семенов 9 класс (Алгебра)
6. Вычислите: а) f(-2) для функции из упражнения 4 «а»; б) f(2) для функции из упражнения 4 «б»; в) f(2) для функции из упражнения 4 «в»;


Ниже вариант решения задания из учебника Мордкович, Семенов, Александрова 9 класс, Бином:
6. Вычислите:
а) f(-2) для функции из упражнения 4 «а»;
б) f(2) для функции из упражнения 4 «б»;
в) f(2) для функции из упражнения 4 «в»;
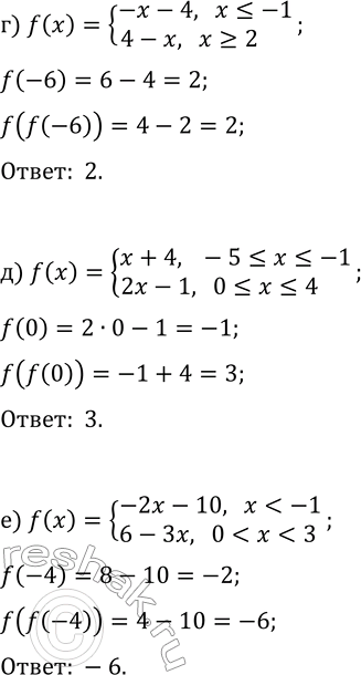
г) f(f(-6)) для функции из упражнения 4 «г»;
д) f(f(0)) для функции из упражнения 4 «д»;
в) f(f(-4)) для функции из упражнения 4 «е».
Квадратичная функция y=f(x) принимает значения f(-2)=0, f(0)=-4, f(4)=0.
