Дополнительная задача 5 Глава 4 ГДЗ Мордкович Семенов 9 класс (Алгебра)
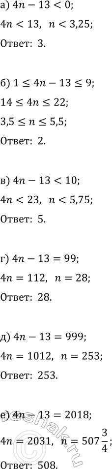
5. В арифметической прогрессии сумма второго, четвёртого и десятого членов равна 25, а сумма седьмого и одиннадцатого — 46. 1) Сколько членов этой прогрессии являются:


Ниже вариант решения задания из учебника Мордкович, Семенов, Александрова 9 класс, Бином:
5. В арифметической прогрессии сумма второго, четвёртого и десятого членов равна 25, а сумма седьмого и одиннадцатого — 46.
1) Сколько членов этой прогрессии являются:
а) отрицательными числами;
б) однозначными натуральными числами;
в) числами, меньшими 10?
2) На каком месте в прогрессии расположен член, который:
а) равен 99;
б) является наибольшим из трёхзначных чисел в этой прогрессии;
в) удалён от числа 2018 на наименьшее расстояние?
