Дополнительная задача 6 Глава 4 ГДЗ Мордкович Семенов 9 класс (Алгебра)
6. Первого марта ученик решил несколько задач по математике, а потом в каждый нечётный день он стал решать на три задачи больше, чем в предыдущий день с нечётной датой.


Ниже вариант решения задания из учебника Мордкович, Семенов, Александрова 9 класс, Бином:
6. Первого марта ученик решил несколько задач по математике, а потом в каждый нечётный день он стал решать на три задачи больше, чем в предыдущий день с нечётной датой. Всего за весь март он решил 392 задачи (по чётным числам он задач не решал). Сколько:
а) дней в марте;
б) мартовских дней с нечётной датой;
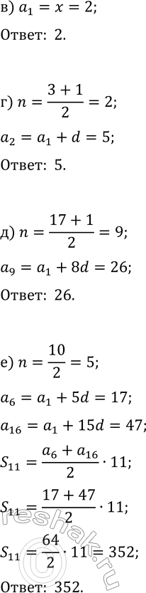
в) задач ученик решил 1 марта;
г) задач ученик решил 3 марта;
д) задач ученик решил 17 марта;
е) задач ученик решил после 10 марта?
