Дополнительная задача 8 Глава 4 ГДЗ Мордкович Семенов 9 класс (Алгебра)
8. Начальную цену лота на аукционе объявили в 17:00. Затем в 17:01, 17:02, ..., т. е. каждую минуту, разрешалось увеличить цену на одну и ту же сумму.


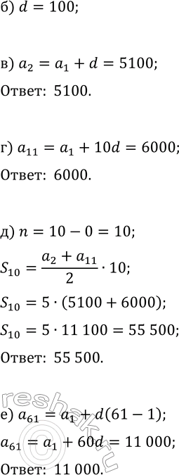
Ниже вариант решения задания из учебника Мордкович, Семенов, Александрова 9 класс, Бином:
8. Начальную цену лота на аукционе объявили в 17:00. Затем в 17:01, 17:02, ..., т. е. каждую минуту, разрешалось увеличить цену на одну и ту же сумму. Начиная с 17:11 по 17:20 включительно сумма ставок оказалась равной 65 500 р. Аукцион закончился в 17:33 при цене лота 8300 р. Найдите (в рублях):
а) начальную цену лота;
б) размер ежеминутного повышения цены;
в) размер ставки в 17:01;
г) размер ставки в 17:10;
д) сумму ставок с 17:01 по 17:10 включительно;
е) размер ставки в 18:00, если бы торги продолжались на тех же условиях.
