Дополнительная задача 1 Глава 5 ГДЗ Мордкович Семенов 9 класс (Алгебра)
1. Какое число стоит в треугольнике Паскаля: а) во второй строке на месте № 1; б) в третьей строке на месте № 2;

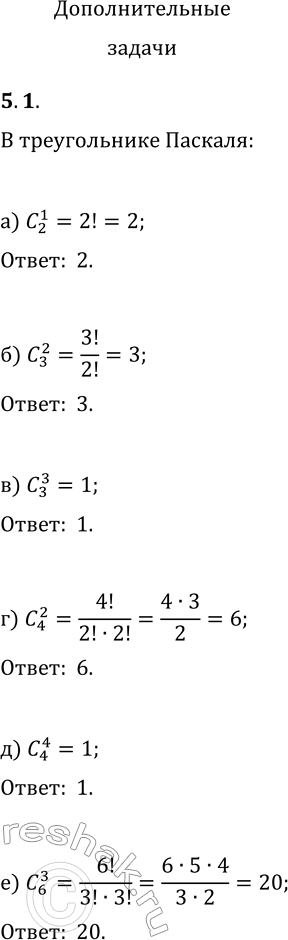
Ниже вариант решения задания из учебника Мордкович, Семенов, Александрова 9 класс, Бином:
1. Какое число стоит в треугольнике Паскаля:
а) во второй строке на месте № 1;
б) в третьей строке на месте № 2;
в) в третьей строке на месте № 3;
г) в четвёртой строке на месте № 2;
д) в четвёртой строке на месте № 4;
е) в шестой строке на месте № 3?
