Дополнительная задача 10 Глава 5 ГДЗ Мордкович Семенов 9 класс (Алгебра)
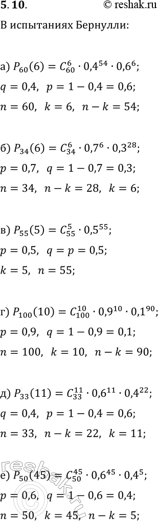
10. В приведённых формулах для подсчёта по формуле Бернулли есть пропуски (отмечены знаком ?). Заполните эти пропуски, если известно, что «успех» не менее вероятен, чем «неудача».

Ниже вариант решения задания из учебника Мордкович, Семенов, Александрова 9 класс, Бином:
10. В приведённых формулах для подсчёта по формуле Бернулли есть пропуски (отмечены знаком ?). Заполните эти пропуски, если известно, что «успех» не менее вероятен, чем «неудача».
а) P(?; 60)=C(6; ?)·0,4^?·?^?;
б) P(?; ?)=C(?; 34)·0,7^?·?^28;
в) P(5; ?)=C(?; ?)·0,5^55;
г) P(10; 100)=C(?; ?)·0,9^?·?^?;
д) P(?; ?)=C(?; 33)·?^?·0,4^22;
е) P(?; 50)=C(45; ?)·0,6^?·?^?.
