Дополнительная задача 14 Глава 5 ГДЗ Мордкович Семенов 9 класс (Алгебра)
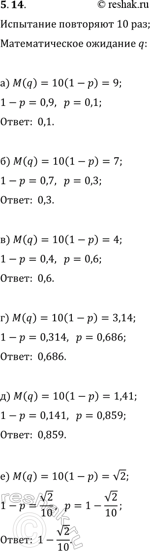
14. Испытание с исходами «успех» и «неудача» повторяют 10 раз. Найдите вероятность «успеха» р, если математическое ожидание числа «неудач» равно: а) 9;

Ниже вариант решения задания из учебника Мордкович, Семенов, Александрова 9 класс, Бином:
14. Испытание с исходами «успех» и «неудача» повторяют 10 раз. Найдите вероятность «успеха» р, если математическое ожидание числа «неудач» равно:
а) 9; в) 4; д) 1,41;
б) 7; г) 3,14; е) v2.
