Параграф 11 Вопрос 5 ГДЗ Габриелян 9 класс (учебник 2013г) (Химия)
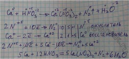
Методом электронного баланса определите коэффициенты в уравнении реакции, схема которого: Ca + HNO3 - > Ca(NO3)2 + N2 + H2O. Какой ион проявляет в этой реакции окислительные свойства?

Ниже вариант решения задания из учебника Габриелян 9 класс, Дрофа:
Методом электронного баланса определите коэффициенты в уравнении реакции, схема которого:
Ca + HNO3 - > Ca(NO3)2 + N2 + H2O.
Какой ион проявляет в этой реакции окислительные свойства?
