Параграф 25 Вопрос 1 ГДЗ Габриелян 9 класс (учебник 2013г) (Химия)
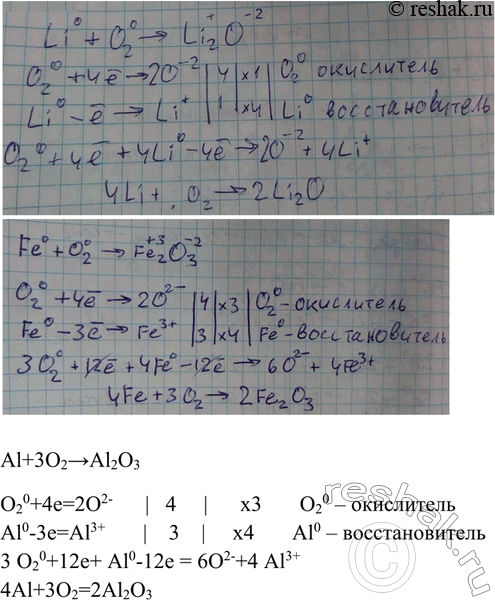
Напишите уравнения реакций кислорода с металлами, о которых говорится в параграфе. Рассмотрите окислительно-восстановительные процессы. *Цитирирование задания со ссылкой на учебник производится исключительно в учебных целях для лучшего понимания разбора решения задания.

Ниже вариант решения задания из учебника Габриелян 9 класс, Дрофа:
Напишите уравнения реакций кислорода с металлами, о которых говорится в параграфе. Рассмотрите окислительно-восстановительные процессы.
